独立個人党のオルタ黙示録:なんでも何が正しいのか自分で考えてみよう-世界暴政化の策謀を絵本で理解-「百聞は絵本にしかず」
The methylation switch: Scientists identify diet that can turn back the cellular clock 12/30/2025 // Jacob Thomas
https://www.naturalnews.com/2025-12-30-diet-that-can-turn-back-cellular-clock.html
SFと栄養科学の境界を曖昧にする画期的な研究で、研究者たちは、生物学的老化を逆転させる可能性のある特定の食事戦略を特定しました。その秘密は未来的な錠剤ではなく、メチル化と呼ばれる基本的な細胞プロセスと、それを制御する食品を活用することにあります。
Aging誌に掲載されたこの研究によると、特定の「メチルアダプトゲン」を豊富に含む食事を摂取した50歳から72歳の男性は、DNAマーカーに基づいて細胞の年齢を測る指標であるエピジェネティック年齢が、わずか8週間で平均2歳以上減少しました。一方、対照群は老化が進み、両群間の細胞老化に3.14歳という驚くべき差が生じました。
「メチル化はDNAのトグルスイッチのようなものです」と、台湾のKeyi Nutrition Consultation Centerの栄養学者、蔡宜芳[Tsai Yi-fang]は述べています。「メチル基を追加すると遺伝子の機能が停止する可能性がありますが、メチル基を削除すると、その機能がオンになります。」
BrightU.AIのEnochによると、メチル化とは分子にメチル基(炭素1個と水素3個)を付加するプロセスであり、必須化合物の構築や有害物質の解毒に不可欠です。このプロセスが損なわれると、体内に毒素が蓄積する可能性があります。
この酵素プロセスは、若々しい遺伝子発現を維持し、損傷したDNAを修復するために不可欠です。加齢とともに、この重要な機能が低下し、がん、肝障害、脳変性症など、様々な加齢関連疾患の一因となります。今回の新たな研究は、皿を通してこのレベルに直接介入できる可能性を示唆しています。
老化マーカーに直接影響を与える食品
その研究では、メチル化調整剤として作用する植物化学物質を豊富に含む6つの強力な食品、すなわちウコン、ローズマリー、ニンニク、ベリー類、緑茶、ウーロン茶に焦点を当てました。これらの「スーパーフード」は、DNAのメチル化を微調整することで、遺伝子を健康でバランスの取れた状態に保ち、疾患リスクを低減します。
メチル化以外にも、本研究は、統合医療の専門家がしばしば「スーパー処方箋」と呼ぶ、ますます増え続ける天然のアンチエイジング戦略の新たな武器となります。これには、レスベラトロール(アンチエイジング遺伝子を活性化)、フィッシュオイル(遺伝子の健康維持)、アシュワガンダ(ストレスホルモンのバランスを整える)といったサプリメントに加え、高効能マルチビタミンの摂取や、ブロッコリー、ほうれん草、卵といったメチル化を豊富に含む食品の摂取といった基本的な習慣が含まれます。
「結果は依然として強力であり、これらの食品が老化マーカーに直接影響を与えることを示唆している」と、研究著者らは、体重変化などの変数を考慮した後でもなお、述べています。
この研究は、説得力があり、実践可能な青写真を示しています。老化との闘いは受動的なプロセスではなく、能動的なプロセスであり、私たちがキッチンで日々行う選択によって左右されることを示唆しています。メチル化を調整する食品を戦略的に取り入れることで、老化の進行を遅らせるだけでなく、巻き戻す可能性もあるかもしれません。これらの食品には、「メチルアダプトゲン」が豊富に含まれており、細胞の若返りと修復に不可欠なDNAメチル化プロセスを最適化するのに役立ちます。
寿命を延ばす可能性のある食品に関するこのビデオをご覧ください。
https://www.brighteon.com/embed/7d2a0092-7a03-4315-81d9-69f6acf1c13e
このビデオはBrighteon.comのandreashチャンネルからのものです。
Sources include:
関連
NAD+の前駆体はフタル酸エステルによって引き起こされる脳損傷を回復させる Lance D Johnson
など
The precursor to NAD+ reverses brain damage caused by phthalates 11/11/2025 // Lance D Johnson
https://www.naturalnews.com/2025-11-11-precursor-to-nad-reverses-brain-damage-phthalates.html
食品包装や医療用チューブに含まれる一般的な可塑剤であるフタル酸ジ-n-ブチル (DBP) は、体内に浸出し、脳の周囲の保護バリアを体系的に破壊します。化学産業がこれらの遍在する化合物から利益を得続ける一方で、希望の光は自然そのものの薬局から現れます。
先駆的な研究により、単純なヌクレオチドであるニコチンアミドモノヌクレオチド (NMN) が損傷を修復するだけでなく認知機能を回復できることが明らかになり、現代の環境中毒の潜行性の影響と戦うための強力な戦略が提供されています。
要点:
NAD+とは何か?
ニコチンアミドアデニンジヌクレオチド (NAD+) は、細胞のエネルギー生成に不可欠な補酵素であり、グルコースと脂肪を代謝する生気として機能しています。 NAD+ はこの主な役割以外にも、細胞全体の健康にとって極めて重要です。抗酸化能力があり、酸化ストレスを軽減して慢性疾患を予防します。さらに、新しい研究では、組織を保護するタンパク質であるサーチュインに燃料を供給する役割が強調されています。この活動は DNA 修復などの重要なプロセスをサポートし、寿命の延長につながります。結局のところ、NAD+ は、効率的な日常機能と長期的な細胞維持に不可欠な、これなしでは生きていけない補酵素です。
神経防御に対する化学的包囲攻撃
血液脳関門 (BBB) は脳の用心深い門番であり、血流から脳に入る物質を細心の注意を払って制御する洗練された細胞構造です。これは、最も重要な臓器を毒素、病原体、炎症から保護し、思考、記憶、意識のための安定した環境を確保するものです。 Ecotoxicology and Environmental Safety(生態毒性学と環境安全性)誌に掲載された新しい研究は、DBP がこの重要な障壁を直接侵害していることを示し、DBP に対する厳しい告発を行っています。
科学者たちはマウスを環境に関連した用量の DBP に曝露し、恐ろしい一連の現象を観察しました。 BBB の完全性は粉砕され、脳組織に決して入るはずのない色素が漏れたことが証明されました。この物理的な侵害には、IL-1α、IL-6、TNF-αなどのような炎症誘発性サイトカインのレベル急上昇を伴う神経炎症の嵐が伴いました。顕微鏡で見ると、証拠は明らかでした。ニューロンは損傷と凝縮を示し、一方、関門の細胞間のモルタルとして機能する「タイトジャンクション」タンパク質(ZO-1とオクルディン)の発現は急激に低下しました。無防備なまま放置された脳はぐらつき始めました。
分子犯罪現場を解明する
DBPがこの攻撃をどのように組織化しているかを理解するために、研究者たちは脳細胞の分子の働きを詳しく調べました。犯罪現場の分析により、基本的な細胞リソースであるニコチンアミドアデニンジヌクレオチド (NAD+)が強奪されたことが判明しました。 NAD+は、エネルギー代謝を促進し、酸化還元バランスを調節し、細胞防御経路を制御する重要な補酵素です。この研究では、DBPへの曝露により脳内の NAD+レベルが劇的に減少することがわかりました。
この NAD+の窃盗は悲惨な結果をもたらします。これは、細胞修復とストレス耐性における役割から「長寿タンパク質」と呼ばれることが多いNAD+依存性酵素であるサーチュイン1 (Sirt1) と呼ばれる重要な保護タンパク質を沈黙させます。 Sirt1が失活すると、そのパートナーである転写因子FOXO1aが適切に機能できなくなります。 Sirt1/FOXO1a 経路は、ミトコンドリアの健康を維持し、酸化ストレスを軽減し、血液脳関門の完全性を維持するために不可欠です。この経路を解体することで、DBP は脳の主要な維持および防御機能を無効にし、脳を崩壊しやすくします。トランスクリプトーム解析により、DBP曝露によりミトコンドリア機能が体系的に調節不全になり、この重要な保護シグナル伝達が停止されることが確認されました。
ニコチンアミドモノヌクレオチド救出ミッション
この研究の最も魅力的な部分は、強力な対抗策の発見です。ニコチンアミドモノヌクレオチド(NMN) は、NAD+の直接の前駆体です。 NMNは、身体が枯渇したNAD+供給を再構築するために切実に必要とする原料であると考えてください。 DBPに曝露されたマウスをNMNで治療すると、核心を突く結果が得られました。
NMNの補給により、脳のNAD+ レベルが正常に補充されました。これにより、Sirt1/FOXO1a経路が再点火され、警戒態勢が回復しました。データは、密着結合タンパク質ZO-1とオクルディンが劇的に回復し、破れた血液脳関門を効果的に封鎖したことを示しました。脳内の炎症の火が弱まり、神経細胞の損傷が軽減されました。重要なことに、研究者らは、NMNの有益な効果を完全に無効にする特定の阻害剤EX-527(注:Sirt1阻害剤)を使用することにより、この救出作戦全体がSirt1に依存していることを確認しました。
究極のテストは認知機能でした。行動試験では、DBPに曝露されたマウスは顕著な記憶力と学習障害を示しました。しかし、NMNで治療したマウスは驚くほど成績が良く、健康なマウスに匹敵する軽さで迷路を通り抜けました。彼らの不安に関連した行動は減少し、全体的な脳機能が回復しました。 NMNは単にリークを修正しただけではありません。脳の思考力と記憶力を回復させました。
この研究は、科学的に裏付けられた解決策を提供しながら、危険で広範囲にわたる脅威を明らかにしています。 DBPのようなフタル酸エステルは不活性物質ではありません。これらは私たちの体内に蓄積する生物学的に活性な毒素です。研究著者らは、「NMNはこれらの影響を打ち消し、環境神経毒に対する治療薬としての可能性を示唆している」と述べています。
Sources include:
関連
ワクチンと血液脳関門 by David Rothscum 1、2、3
ほか
重要なので、日本関係も
「地域と食を守る農政が筋」 国民民主党衆院・玉木雄一郎議員に聞く(1)2024年12月25日
https://www.jacom.or.jp/nousei/closeup/2024/241225-78571.php
10月の衆議院選挙では自民党と公明党が過半数を維持できず、臨時国会では税制や経済政策、政治改革をめぐって論戦のうえ与野党協議で政策が修正される場面も出てきた。野党の存在感が増すなか、今回は議席を改選前の4倍に増やした国民民主党の玉木雄一郎衆議院議員に農政を中心に聞いた。聞き手は千葉大学客員教授の加藤一郎氏。
直接支払いを重視
国民民主党衆院議員 玉木雄一郎氏
加藤 祖父は香川県さぬき市の大川農協組合長、父は香川県農協の畜産部長を勤められたという兼業農家で育った玉木さんは、小・中学校時代には農作業を手伝われたと思います。その後、東大法学部を卒業して大蔵省へ入省しますが、実際に農作業を経験したという大蔵官僚はいたのでしょうか。
玉木 全部調べたわけではありませんが、ほとんどいないでしょうね。当時、稲の病気を予防するためにパイプの穴から農薬が散布される器具の端を持って畔を歩いたという経験もあります。
財務省出身ですから、もともとは金融や財政が専門だったわけですが、私は農協一家で育ったし、地方の農業基盤がどんどん弱体化すると地域そのものが崩れていくことになるので、農政をしっかりやろうと初当選の時から国会では志願して農林水産委員会に所属しました。
加藤 ご指摘のように生産基盤が弱体化していますが、その最大の理由は農業所得が低いということにあるのではないでしょうか。どんな政策の見直しが必要でしょうか。
千葉大学客員教授の加藤一郎氏
玉木 今年、食料・農業・農村基本法が改正されましたが、そもそも基本法はなぜ作られたかといえば、戦後、他産業に比べて農業従事者の所得が低く、所得の格差をいかに是正していけるのか、いわば農業で食べていける所得を確保するための農政はいかなるものであるべきか、というのが原点でした。
しかし、今回の改正基本法ではスマート農業の導入や輸出の増大などを掲げていますが、いちばん肝心な営農継続可能な所得をどう確保するのかということはまったく書かれていません。農業経営の大規模化や効率化の努力は必要だということは相変わらず書かれていますが、それはすでにやってきたことです。一方、今回、上昇したコストを価格転嫁して、消費者にも一定の負担をいただくということは新たに盛り込まれました。これは必要なことです。
このように農業者にも消費者にも努力を求めていますが、国は何をするのかが欠けています。農業でも効率化を重視する産業政策を否定はしませんが、一方で多面的機能を重視し農業や農地の持つ公共性ということに着目した地域政策についての国の努力はどこに行ったのでしょうか。
それは直接支払いしかないと我々国民民主党は考えています。価格の形成は基本的には市場に任せればいいのですが、営農継続可能な所得は政策で保障する必要があります。
最近は米の価格が上昇しており、これは農業者にとっては良いことですが、一方で需給調整への取り組みの結果、高くなりすぎると消費者は買えなくなってしまいます。価格のコントロールを需給調整でやることには限界があるので、価格はある程度市場に任せていくことも考えなければなりません。しかし、それではコストが高止まりしている中で、販売価格が下がれば赤字になる。そのギャップを直接支払いで埋めていくことに踏み込まなければなりません。
ただし、現在は中山間地域直接支払い、水田活用の直接支払い、さらに畑作物へのゲタ対策など直接支払制度にもさまざまな制度があるので、もっとシンプルな制度に整理すべきです。
「地域と食を守る農政が筋」 国民民主党衆院・玉木雄一郎議員に聞く(2)へ続く
「地域と食を守る農政が筋」 国民民主党衆院・玉木雄一郎議員に聞く(2)2024年12月25日
https://www.jacom.or.jp/nousei/closeup/2024/241225-78572.php
10月の衆議院選挙では自民党と公明党が過半数を維持できず、臨時国会では税制や経済政策、政治改革をめぐって論戦のうえ与野党協議で政策が修正される場面も出てきた。野党の存在感が増すなか、今回は議席を改選前の4倍に増やした国民民主党の玉木雄一郎衆議院議員に農政を中心に聞いた。聞き手は千葉大学客員教授の加藤一郎氏。
家族型モデル必要
国民民主党衆院議員 玉木雄一郎氏
たとえば麦のように海外からの輸入に過度に依存し自給率を上げなければいけない品目であれば、その生産には一定程度お金を支出する。また、条件が不利な地域で生産する場合には加算をする。平地であっても水はけの悪い水田で作るのは、ある意味で条件不利地だから、それも加算する。さらに中山間地域で作付けする場合は中山間地域直接支払制度で加算するなど、分かりやすい体系に整理したい。
それを我々国民民主党は「食料安全保障基礎支払」として制度化することを公約として提案しています。
加藤 わが国は地域が生き生きと活性化することが一番重要であり、香川県で生まれ育った玉木さんがそのことを訴えていくことに期待したいと思います。
玉木 それが田舎育ちの私の一つの仕事だと思っています。香川県は日本でもっとも小さな県であり耕地面積も少ない。しかも耕作放棄地や離農者の割合が高い。西日本の小さな農村から出ている国会議員として、地域を守るということは日本を守るということだと考えています。農業は命を育む産業であると同時に国を守る産業だと、力を込めて農政に取り組んでいきます。
日本の農政は米国型の規模や効率重視の農業を追いかけてきたわけですが、スイスやイタリアなどヨーロッパの小さな国々で地域が生き生きと維持されていることに学ぶべきです。小規模でも地域に根ざして美しい農村を維持している農家がたくさんあります。大規模ばかりではなく、家族型、あるいは地域に密着型の農業でも十分やっていけるというモデルをぜひ日本でも作りたいですね。
加藤 石破総理も地方の出身であり、総理と玉木さんが農業政策というより、これからの地域政策をどうするかということを議論するのは極めて重要だと思います。
玉木 総理が農水大臣の時にまとめた石破プランは、実は私たちの考え方に近かった。ぜひ総理とも自民党とも協力できるところは協力して農政を変えていきたい。
私は地域を本当に元気にしたい。このままではどんどん人口が減ります。水活の「5年に一度の水張り」もあまり無理して進めると離農者が続出し、優良農地こそ失われていくことになりかねない。その瀬戸際に来ています。
加藤 ところで、地域を元気にすることに関連することとして女性の力の発揮もあると思います。母校の千葉大学園芸学部は私の時代は(1971年卒)女性はわずかでした。しかし、今や半数を超え、成績優秀者表彰の学生はほとんど女子です。しかし、女性が故郷に戻ることは少なく、その理由について聞くと「私の故郷では夜は暗く行くところがありません。男性は消防団を通じて新たな友人ができますが、女性は一旦、故郷を離れると新たに友人を得ることが難しい面があります。居酒屋もありますが、年齢の高い男性ばかりで入るのに躊躇(ちゅうちょ)します」と言われました。
玉木 地方こそ女性を受け入れる地域のコミュニティーが大切だということですね。これから大切なのは子どもを産み育てる女性たちが戻りたい、住みたい、住み続けたいと思えるような街をどうつくるかです。しかし、多くの地方議会は男性の中高年が中心で、そうした意見がまったく反映されていません。その意味で政治家として言えば、国会議員もそうですが、地方議員にもっと20代、30代の当事者の女性が増え、そうした女性たちが住み続けたいと思う施策をつくることが大事です。まずは地域で女性を受け入れる場所を作っていくことが必要ですね。
【インタビューを終えて】
玉木議員の祖父、父には私がJA全農の西日本担当常務時代にお会いしたと記憶しております。玉木さんは三兄弟の長男として、小・中学校時代には兼業農家の一員として農作業を手伝われ、玉木さんの原点には農業があったと思います。その後、東大法学部を卒業して、1993年大蔵省入省、1995年には米国ハーバート大学に留学し、数々の要職を歴任されました。2005年に財務省を退官し、2009年に衆院議員選挙で初当選されました。私の全農専務時代には全農の会議室で、何回か雑談も含めて多くの課題について、フランクに意見交換をさせて頂いたことは私にとっての知的財産になりました。(加藤一郎)
関連
遺伝子治療製品は健康の解決策ではない;健康的な食事とライフスタイルこそがそうである Dr. Guy Hatchard(Rhoda Wilson)
ケネディのHHSレポートは、小児病の主要な牽引役として加工食品、農薬、ワクチンを暴露-アメリカはついに耳を傾けるのか? Lance D Johnson
ほか
日本のマスコミは無視あるいは中傷していると思いますが、ケネディチームは着実に進撃中
Kennedy’s HHS report exposes processed food, pesticides, and vaccines as key drivers of childhood disease — will America finally listen? 05/22/2025 // Lance D Johnson
https://www.naturalnews.com/2025-05-22-hhs-report-exposes-key-drivers-childhood-disease.html
何十年もの間、両親と独立した研究者たちは、アメリカの子供たちを毒する有毒な重荷についての警告を発してきましたが、結局、企業の利益、政府の共謀、および現状の保護にがむしゃらなメディアマシンによって沈黙させられるだけでした。現在、歴史的な逆転で、ロバート・F・ケネディJr. [Robert F. Kennedy Jr.]長官の下での米国保健福祉省(HHS)は、真実を求める人が長い間主張してきたこと:加工食品、環境化学物質、および過剰なワクチンスケジュールが、小児の慢性疾患の流行を促進しているということを確認する画期的な報告書を発表しました。このレポートは、単なるモーニングコールではありません。これは、利益のために子どもたちの健康を犠牲にしてきたシステムを解体する戦闘計画です。
要点:
健康に対する食品業界の有毒な支配
このレポートは、子どもの健康を劣化させるために、合成染料、工業用種子油、化学防腐剤を搭載した超高加工食品を非難することに何らパンチを引っ込めていません。ケネディは、規制当局と食品コングロマリットの間の回転ドアを強調し、企業の利益がどのように食事ガイドラインをハイジャックしたかを指摘しました。より厳しい安全基準に保たれているヨーロッパの幼児への処方は、現在、アメリカ大豆協会が炎症に結びついている証拠にもかかわらず、「心臓の健康」として必死に擁護している製品である大豆油などの疑わしい添加物を含む国内ブランドに大きな不信感を抱いている米国の両親によって求められています。
これは栄養についてだけのことではありません。それは腐敗についてです。この報告書は、バイエルのラウンドアップの有効成分であるグリホサートをがんおよび神経学的損傷につなぐ研究を引用しています。モンサントに対する画期的な事例を訴訟するのを手伝ったケネディは、農業化学産業が毒から利益を得るために、どのように科学を葬り去っているかを直接知っています。
精査下のワクチン:長年の懸案だった請求書
何年もの間、息子のノアがワクチン傷害の後に自閉症に退行したトレーシーのような親は、「反ワクチン陰謀理論家」として却下されていました。現在、HHSレポートは彼らの苦しみを検証し、ワクチンの安全性と、ほとんどのヨーロッパ諸国よりも多くの用量を管理する米国のスケジュールに関する厳密な調査を求めています。このレポートのスタンスは、ワクチン、自己免疫障害、神経発達条件の間の相関関係を示す、何十年も抑制された浮かび上がってきた研究と一致しています。
ケネディのリーダーシップはターニングポイントを示しています。彼が記者団に語ったように、「あなたが神経毒性のアルミニウムまたはホルムアルデヒドを子供を注入する時、あなたは彼らの生物学でロシアンルーレットをしています。」 公衆衛生に関する製薬業界の抑圧はついに挑戦されています-辺縁の活動家ではなく、政府の最高レベルによってです。
報告書の批判者たち(農薬ロビイスト、加工食品メーカー、ワクチンの受益者)は、すでにワゴンを周回させています。バイエルは、その調査結果を「事実に基づいていない」と却下し、農場のグループは「非公開での」起草について泣き言を言いました。しかし、ケネディのチームは後退していません。 8月に予定されている次の段階では、有害な食品添加物の禁止、農業化学物質の承認の改革、強制的なワクチン義務化の解体など、具体的な政策の変更を推進するでしょう。
これは政策の変化以上のものであり、文化的革命です。真実で武装した両親たちは、彼らの子供たちを病気にして捨てたままにした嘘を拒否しています。問題は、アメリカがその食物、環境、医療システムを掃除できるかどうかではありません。それは、病気から利益を得ている企業を無視する勇気があるかどうかです。ケネディのレポートは、その戦争の新しい段階での最初の砲弾です。
Sources include:
関連
魔法の溶けないアイスクリーム?一般的な食品に含まれる乳化剤は炎症や病気のリスクと関連している Willow Tohi
ほか
BIG NEWS for SUSTAINABLE FARMING: Joel F. Salatin, American farmer, author and environmentalist, appointed by Trump as “Advisor to the Secretary” for USDA 12/21/2024 // S.D. Wells
https://www.naturalnews.com/2024-12-21-joel-salatin-appointed-by-trump-advisor-for-usda.html
アメリカでの従来の農業は完全な悪夢になりました。そこでは、土壌と作物には、土壌の栄養素がほとんどなくなるほどに、化学的混入農薬、除草剤、肥料、さらにはフッ素化された水でさえも吸収されます。これはまた、がんや認知症を含む過去数十年にわたって、全国に大きな病気の波を生み出しています。特に、これらのGMO作物では、人間に対して非常に毒性があり、肝臓、膵臓、腎臓などの浄化器官を破壊することができるグリホサートのような化学物質で死ぬことに抵抗するように遺伝子組み換えされています。
農業施設全体には、作物がもはや疾患、障害、死を引き起こす化学物質や毒素で混ぜ物をされなくなった大規模な作り直しが必要です。ジョエル・F・サラティンがトランプ大統領によってUSDA長官の顧問になるように任命されたという最新のニュースは、きれいな食べ物、健康な土壌、持続可能な農業慣行に情熱を傾けるアメリカ人の間で興奮と期待の波を引き起こしました。
有名なアメリカの農家、講師、著者であるジョエル・サラティンは、スポットライトを知らない人ではありません。化学農薬無しの農業経営、完全に持続可能な農業、食物の健康に関する土壌の健康の重要性に対する強い信念と擁護で知られるサラティンの任命は、アメリカの農業政策の大きな変化を意味しています。
バージニア州スウープにあるサラティンのポリフェイスファームは、化学物質や毒素に大きく依存する従来の農業慣行の代替案を求めている人々にとって希望の灯台となっています。再生農業の力と伝統的な農業方法の保存に対する確固たる信念により、サラティンは、健康でシンプルで持続可能な生活に捧げられた新世代の現代の家産の所有者たちに影響を与えました。
USDA長官の新しい顧問は、米国の農業景観を再構築するための記念碑的な一歩である
USDAの秘書のアドバイザーとしての自然健康擁護者および有機農業の専門家であるジョエル・サラティンの任命は、米国の農業景観を再構築するための記念碑的な一歩です。彼の専門知識と地元の食品システムを促進し、個人が自分の食物と健康を支配することを強化するというコミットメントは、より健康でより持続可能な未来のために努力しているアメリカ人の価値と完全に一致しています。
サラティンの任命のニュースが広がるにつれて、現代の自作農場運動の支持者の間での期待と興奮は明白です。サラティンが舵取りをしていると、きれいな食物、健康な土壌、有機農業の慣行が人々と惑星の両方の幸福にために優先される未来への新たな希望があります。
農業施設が変身を切実に必要としている時代に、ジョエル・F・サラティンのUSDA長官の顧問としての任命は、可能性と進歩の新しい時代を示しています。持続可能な農業慣行が標準であり、個人が自分の食物と健康を形作る力を持っている未来に対する彼のビジョンは、きれいな食物、健康な土壌の重要性、そして来たるべき何世代にもわたって持続可能な未来を信じるすべての人にとって希望の灯台です。
新運営USDAとアメリカの農場の重要な目標:
あなたの食品ニュースの周波数をFoodSupply.newsに合わせ、お近くの店にやって来る、より有毒な食品や食品不足の最新情報を入手してください。
Sources for this article include:
++
人間自身が遺伝子組替されている世の中ですが、農業面では、とにかく、スリランカ的にはならないようにしながら、できる限り農薬漬けから脱却していってほしいですね。
関連
どのように遺伝的に操作された食品が我々の種の生存を脅かすか by David Rothscum
不妊、幼児死亡率に関連づけられたGM大豆 By Jeffrey Smith +
遺伝子組替トウモロコシ自体が、不妊化とがん増殖を促進する理由の一端:論文要旨紹介
想像以上に悪いグリホサート F. William Engdahl
飢餓は一つの政治的武器として使用される by David Rothscum 1、2、3
イェールの研究は、Covid注射からのスパイクタンパクが2年間持続していることを発見:mRNAワクチンはヒトDNAを書き換えているのか? Lance D Johnson
ほか
Breakthrough nutritional solutions discovered that may HALT CLOTTING and UNFOLD spike proteins Tuesday, January 17, 2023 by: Mike Adams
(ナチュラルニュース) 私たちは今日、凝固とスパイクタンパク粒子に対する潜在的な栄養的解決策について、2つの重要な発見を共有することができます。まず、2021年に発表された研究が、ブロメラインとアセチルシステイン(どちらもサプリメント業界でよく知られている)の組み合わせが、スパイクタンパクの形態を変化させ、体内の細胞を攻撃できないように不活性化する可能性を示したことに気づいた人が、この2日間で突然流行りだしました。
この研究は、誰が最初に公表したのかわかりませんが、Brighteon.sociallに広く掲載されているのを発見しました。(蛇足:オルソモレキュラー派なら、すぐ思いつくことでしょう。他には納豆、味噌汁、mRNAなしのタマゴの組み合わせもよいでしょう。野菜でもいいです)
この研究のタイトルは、『The Combination of Bromelain and Acetylcysteine (BromAc) Synergistically Inactivates SARS-CoV-2(ブロメラインとアセチルシステインの組み合わせは相乗的にSARS-CoV-2を不活化する)』です。
この論文はVirus誌に掲載され、Researchgate.netや他の科学論文インデックスハブに掲載されています。論文の全文は、無料で公開されています。
この研究は、アーメッド・メッカウイ[Ahmed Mekkawy]を筆頭とする研究者グループによって執筆され、ブロメラインとアセチルシステイン(サプリメント形態のNACとしても知られる)がスパイクタンパクの糖タンパクをどのように変化させるかを調べたものです。次のグラフは、異なる濃度のブロメラインとアセチルシステインの組み合わせにさらされたSARS-CoC-2細胞培養物の不透明度の変化を示しています:(マイクログラム/mLはppmを意味し、かなり低い濃度でありながら測定可能な影響を持つことに留意してください):
図2. 細胞溶解試験により、SARS-CoV-2に対するアセチルシステインとブロムラインの組み合わせ(BromAc)のin vitroでの不活性化能が証明された。細胞生存率は、ニュートラルレッドによる細胞染色で測定され、光学密度(OD)は生存細胞に正比例する。OD(光学密度)が低ければ、ウイルスの複製による細胞の溶解が重要であることを意味している。
この研究の結論は、ブロメラインとアセチルシステインの組み合わせが、SARS-CoC-2の糖タンパクの構造を変化させ、ヒト細胞を攻撃できないようにすることを説明しています:(強調追加)
ブロメラインとアセチルシステインの組み合わせ(BromAc)は、Vero細胞で培養した2種類のSARS-CoV-2株の感染性を相乗的に阻害した。タンパクの構成とその分子特性は、その構造的・幾何学的な完全性に依存しており、それはペプチド結合とジスフィド架橋の両方に依存している。アセチルシステインは還元剤として、ジスフィド架橋を減少させる傾向があり、その結果、ほとんどのタンパクの分子特性を変化させる。この特性は、いくつかの治療法(慢性閉塞性肺疾患、アレルギー性気道疾患、嚢胞性黒血病、腹膜炎偽粘液腫など)の開発に広く利用されている[20,23-27]。最近では、スパイクタンパクの完全性が感染に不可欠であるインフルエンザやCOVID-19などの呼吸器感染症に対する治療法の開発にアセチルシステインが使用されている[28-30][12,13]。その作用機序として、スパイク糖タンパクの折り畳みを解除し、そのジスフィド架橋を減少させるという仮説がある。
このスパイクタンパクに対する直接的な機械的作用は、既存の多くの抗ウイルス剤とは異なる治療戦略であり、複製機構を標的とするのではなく、宿主細胞へのウイルスの侵入を防ぐものである。BromAcは、複雑な糖タンパクを破壊する生化学的な薬剤として作用する。ブロメラインの多才な酵素能力は、グリコシド結合を破壊する能力を中心として、アセチルシステインのジスフィド架橋を減少させる強力な力を補完する多能性酵素として有用である。(蛇足:タンパクがジスフィド架橋解除でばらけると分解酵素の効果が高くなります)
ジスフィド架橋で安定化されたSARS-CoV-2スパイクタンパクとエンベロープタンパクに対するBromAcの可能性を調べたところ、ジスフィド安定架橋を減らすことによって、組み換えスパイクタンパクとエンベロープタンパクのアンフォールディングを誘導することがわかった。また、BromAcは野生型およびスパイク変異型SARS-CoV-2に対して、in vitroで複製能力を不活性化させる阻害効果を示した。したがって、BromAcは、変異があってもSARS-CoV-2感染の早期治療に有効であり、さらに感染リスクの高い人への予防薬としての可能性もあると思われる。
重要なことは、これらのテストは試験管内で行われたもので、私が知る限り、この組み合わせに関するヒトでの臨床試験は行われていないことです。NIHは、ビッグファーマの医薬品とワクチンの研究以外には決して資金を提供しないでしょうから。ここで紹介した情報は、さらなる探求を保証する理論的な経路作用として考えてください。
とはいえ、ブロメラインとアセチルシステインは現在栄養補助食品として広く消費されており、容易に入手でき、価格も手頃であることから、これらの解決策は低コスト、低リスクの介入として検討する価値があり、命を救う一助となるかもしれません。(蛇足:あまり「カゼウイルスがない」とばかり言って無対策でいないで、素直に栄養補給すれば、カゼなど何ともないですよ。もちろん、ビタミンDなどもお忘れなく)
ブライアン・アーディス医師が、人為的なフィブリノーゲン凝固を止めるための潜在的な解決策を明らかにした
昨日、Ba'al Bustersの番組で、ブライアン・アーディス医師[Dr. Bryan Ardis]と一緒に、解決策について話しました。番組の約30分後、アーディス医師は、甘草根の有効成分であるグリチルリチンが、毒ペプチドによるフィブリノーゲン凝固(血液中で起こりうる)を強く阻害することが分かったという短いプレゼンテーションを公開しました。
そのインタビューの全編は、Brighteon.comのこのリンクから見ることができます。
インタビューの中で指摘したように、グリチルリチンは、タイレノール(アセトアミノフェン)の毒性から肝臓を保護することでも知られています。グリチルリチンは、西洋の漢方薬や中国伝統医学において、最も強力な分子のひとつです。
本日の状況更新ポッドキャストでは、このほかにもさまざまな情報をお伝えします:
- ブライアン・アーディス医師がフィブリノーゲン凝固に対する栄養学的解決策を明らかにした
- 発表された科学的研究は、スパイクタンパクを分解する栄養コンボを明かしている
- WSJは、あなたが準備ができているかどうかにかかわらず、CBDCが来ていることを認めている-突然、それはもはや陰謀ではない
- mRNAワクチンの動物群への押し付けは、食肉供給を破壊するための別のグローバリストの努力である
- 「ピュアブラッド」雄牛の精液の真実と家畜群の持続可能性
- 内部告発者により、アメリカ政府がアメリカの食料インフラを攻撃していることが明らかになった
- 左派は石炭採掘は悪だが、「グリーン」エネルギーのための鉱物採掘は善だと信じている
- グリーン・エネルギー・インフラには、世界中から採掘された15種類以上の鉱物が必要である
- スティーブ・クエール[Steve Quayle]、マイク・アダムスと共同で新しい特別報告書を発表。『GRID DOWN - What Now?』
- 宇宙物理学は人種差別だと主張する大学教授
- スコットランドは、あなたが囚人である「20分近隣地域」というグローバリストの概念を推進している
- わずか数年で、オンラインコンテンツの90%がAIによって生成される
- AIシステムの台頭は、創造的で意識的な人間であることの重要性を強調している
-オーガニック・プレッパーのデイジー・ルーサー[Daisy Luther]に粗衣粗食についてインタビューしました
Brighteon: Brighteon.com/e726275b-0566-4d5f-baf9-a0e5e8ba69b4
Rumble: Rumble.com/v25z5z8-situation-update-11723-breakthrough-nutritional-solutions-to-halt-clotting..html
Bitchute: Bitchute.com/video/uD9bQ1V2R9J3/
Banned.Video: Banned.video/watch?id=63c699689c97e3192587d704
iTunes podcast: Healthrangerreport.com/situation-update-jan-17-2023-breakthrough-nutritional-solutions-to-halt-clotting-and-unfold-spike-proteins
https://www.brighteon.com/embed/e726275b-0566-4d5f-baf9-a0e5e8ba69b4
Learn more about herbal solutions and remedies at Herbs.news
Discover more interviews and podcasts each day at:
https://www.brighteon.com/channels/HRreport
以下略
追記:「アンフォウルド」は、「活性構造破壊」くらいで考えてください。題名中では、単純に「破壊」でもよかったかもしれません。→変更しました
スパイクタンパク被害と闘うということでもあります、シェディングにも有効でしょう
Fights COVID Like Hydroxychloroquine, yet Easier to Find Published on May 10, 2022 Written by theepochtimes.com
https://principia-scientific.com/fights-covid-like-hydroxychloroquine-yet-easier-to-find/
サブスタックModern Discontentは、先日、ケルセチン[quercetin]がSARS-CoV-2に対して早期に使用すると有効であることが判明したヒドロキシクロロキン[hydroxychloroquine]のような働きをすることを含め、ケルセチンの効用についてアンソロジーシリーズを掲載した。
第1回は、まずケルセチンとは何か、その基本的な作用機序について簡単に説明している。ケルセチンは、タマネギ(蛇足:皮に多い)やエシャロット、リンゴ、ブロッコリー、アスパラガス、ピーマン、トマト、レッドリーフレタス、イチゴ、ラズベリー、ブルーベリー、クランベリー、ブラックカラント、緑茶など様々な野菜や果物に含まれるフラボノイドの一種である。
ケルセチンの含有量は光の当たり具合に大きく左右されるため、あなたが住んでいる国によって、最も多くケルセチンを含む食品は異なるだろう。
SARS-CoV-2に対するケルセチン
アンソロジーのパート2において、Modern Discontentは、特にCOVID-19に対してケルセチンを使用することを推奨する根拠を再検討している。前述のように、亜鉛には抗ウイルス作用があり、ケルセチンは亜鉛を細胞内にシャトルするのを助ける。しかし、ケルセチンには、COVID-19との闘いに有用な他の作用機序もあるのである。
ケルセチンは、サイトカインストームの際に起こる炎症性サイトカインの無秩序な放出に関与する免疫系コンポーネントであるNLRP3インフラマソームを調節するのである。
例えば、ケルセチンは、以下のことが示されている:
「コンピュータモデルによる研究ではあるが、ここでのエビデンスは、ケルセチンのACE2への結合活性は、SARS-CoV-2の治療に用いられる他の『標準』(『』は追加)治療薬(例えば、Remdesivir、Lopinavir、Ritonavir)と同等であることを示唆している。」
1. スパイクタンパクに結合することで、宿主細胞への感染能力を抑制する
2. 既に感染している細胞の複製を阻害する
3. 感染細胞の抗ウイルス剤治療に対する抵抗性を低下させる
COVID-19医学文献に見るケルセチン
第3部では、Modern Discontentが、これまでに行われた臨床試験のいくつかをレビューしている。COVID-19に特化したある研究では、亜鉛と2種類の亜鉛イオノフォアであるキニーネ滴とケルセチンを摂取した人は、対照群よりもCOVID-19の発生率が低いことが判明した。研究期間中(20週間)、被験者の53人のうち症状が出たのは2人だけだったのに対し、対照群では60人のうち12人が症状を訴えた。Modern Discontentが指摘するように:
「これは、ケルセチンを単独で試験したわけではないが、この研究は、市販の簡単に入手できる化合物が、COVIDとの戦いにおいて、特に予防薬として摂取した場合、非常に有益であることを示唆している。」
もう一つ別の試験では、陽性と判定されたものの、症状が軽度の外来患者76名に、標準治療(鎮痛剤、経口ステロイド、抗生物質)に加えて、1日1000mgのケルセチンフィトソーム®(ケルセチン、ひまわりリン脂質で経口吸収率が20倍向上)を30日間投与している。別の76名の患者には標準治療のみを行った。
ケルセチン投与群では、入院が必要となった患者はわずか9.2%であったのに対し、標準治療のみを受けた患者では28.9%であった。著者らによると:
「入院の頻度と期間、非侵襲的酸素療法の必要性、集中治療室への移行、死亡数の減少が明らかになった。
また、その結果は、ケルセチンの非常に高い安全性プロファイルを確認し、抗疲労および食欲増進作用の可能性を示唆した。QP(ケルセチンフィトソーム®)は安全な薬剤であり、標準治療との併用により、ウイルス感染の初期段階で使用すれば、初期症状の改善やCOVID-19疾患の重症化防止に役立つ可能性がある。」
ケルセチンは、2020年に発表された2つの科学的レビューでも取り上げられた。2020年5月にIntegrative Medicine誌に掲載された1つ目の論文32では、ケルセチンがNLRP3インフラマソームを抑制するSIRT2を促進することが強調されている。
2つ目のレビュー論文は、2020年6月19日発行のFrontiers in Immunology誌に掲載され、ビタミンCと併用した場合のケルセチンのCOVID-19治療としての有用性が強調された。また、ビタミンCはケルセチンの抗ウイルス能力を強化する。
薬としての食品
加工食品の出現により、多くの重要な栄養素が失われ、また一般的な食生活の中で最小化されてきた。新鮮な果物、野菜、ベリー類に含まれるケルセチンもその一つである。残念ながら、必須ビタミンや必須ミネラルはその重要性が一般に認められているが、ケルセチンのような抗酸化物質は見落とされがちで、時には「疑似科学」や「流行」のサプリメントのようなレッテルを貼られることもある。Modern Discontentが指摘するように:
「これらの化合物が人間に貢献する多くの利点は誇張することはできない・・・議論はケルセチンが私たちの健康に有益であることを証明するだけでなく、それの欠如は、長期的には有害であることを証明するかもしれないということができる」と述べた。
COVID-19が我々に教えてくれたことは、基本的な健康と健康な免疫機能の重要性である。この点では、新鮮な野菜と果物を多く含む食事が効果的である。栄養補助食品も、特にパンデミックのような状況下では、その役割を果たす。
要約
結論として、Modern Discontentは次のように知見をまとめている:
· ケルセチンがヒドロキシクロロキンと同じような働きをするという証拠がある-ケルセチンは免疫調整剤と亜鉛イオノフォアとして働くと思われる。市販の抗アレルギー剤としての利用や、喘息への使用は、ヒスタミンやサイトカインの産生に影響を与える能力を示している。
· ケルセチンには、他の利点がたくさんある-・・・抗酸化物質・・・は、最もよく研究されている化合物の一つで、抗がん作用、心臓や臓器の保護に役立つと考えられている。また、抗菌作用もあり、流行りのサプリメントに過ぎないとは言い切れない。
· 限られた数ではあるが、ケルセチンがSARS-CoV2に有効であるという証拠もある。コンピュータモデルやin vitroの研究では、ACE2受容体とSARS-CoV2の主要プロテアーゼがケルセチンの良い標的候補である可能性を示唆している・・・その限られた数の研究は、特に早期または予防的に使用した場合に、ケルセチンが有効であろうことを示唆している。
· ケルセチンの主な供給源は食生活であり、現代の食生活におけるその欠乏は、私たちの健康問題の一因となっているかもしれない-ケルセチンは主に色鮮やかな果物、野菜、お茶・・・私たちの祖先の多くが日常的に消費していたであろうすべての食品から供給されている・・・現代の「強化」食品は追加のビタミンやミネラルで補う傾向があるが、食生活において重要な役割を果たした他の植物由来の化合物を見落とした可能性がある。
日光への露出が減り、ビタミンDの補給を増やす必要があるのと同様に、ポリフェノールなどの見落とされた化合物の補給の可能性を検討する必要があるかもしれない。これらの化合物を本物の食品から摂取することが最も効果的であるが、新鮮な野菜や果物を手に入れることができない人々には、ケルセチンやポリフェノールの補給が有効かもしれない。
例えば、炭水化物の多い果物を避けるケト食のような代替食をとる人々には、重要な栄養素が不足している可能性がある。
ケルセチンには多くの利点があり、食事で不足している可能性がある人は、サプリメントで摂取することを検討するとよいだろう。これは処方箋や勧告としてではなく、自分自身の健康を調べ、何が不足しているのかを確認するための主張として受け止めてください・・・」
See more here: theepochtimes.com
関連
スパイクタンパク質が機能獲得型コロナウイルスの細胞内への侵入を促進するのであれば、なぜスパイクタンパク質を生成するワクチンの投与を強要されるのか? Bill Sardi 2
世界健康協議会、スパイクタンパクの解毒法を公開 Analysis by Dr. Joseph Mercola
mRNA「ワクチン」を打たれていると、幹細胞もやられる可能性があるので、その時は厳しいかもしれませんが、運がよければ効くかもしれません。「ワクチン」を打たれていなくても、ボケ封じにときどき食べましょう。
Bombshell: Can vaccine NERVE DAMAGE be REVERSED with this home-grown molecule called sulforaphane? Friday, January 28, 2022 by: Mike Adams
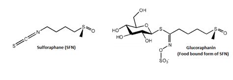
(ナチュラルニュース)自家栽培の新芽に含まれるある分子が、神経系幹細胞を活性化して神経組織を再生し、損傷した神経や脳を修復することが記録されています。この分子は、ブロッコリーの新芽を、メイソンジャーと発芽用の蓋のような簡単なものを使って発芽させると、コストゼロで自動的に生成されるのです。
この分子はスルフォラファンと呼ばれ、すべてのアブラナ科の野菜に含まれています。しかし、その濃度はブロッコリースプラウトに最も多く含まれています(圧倒的に)。(蛇足:今冷蔵庫の中にあります)
(蛇足:遊離分子はイソチオシアネートで反応性が高いですが、野菜中では右の原料形になっているのでわりと安定でしょう)
スルフォラファンは、神経組織を再生し、損傷した脳の修復を助けることが知られている多くの「神経原性」分子のひとつに過ぎません。mRNAスパイクタンパクワクチンが神経系や血管系に直接ダメージを与えることを考えると、スルフォラファンは、ワクチン被害者の脳損傷の修復と回復を助ける最も重要で有望な天然分子の1つである可能性があります。
GreenMedInfo.comは、スルフォラファンとその他の天然分子について広範な研究を行っています。このリンクにある彼らの神経発生物質リストでは、以下の物質がすべて、神経修復能力を示すことが文書化されています。
また、Green Med Infoでは、スルフォラファンの概要と、発表された科学的根拠に基づく脳修復のメカニズムについて掲載しています。その記事から:
研究者らは、神経細胞に害を与えることなく神経幹細胞(NSC)の成長を促進する上で、スルフォラファンの最適な濃度範囲を決定した。研究者たちは、「5mM以下の濃度は、細胞毒性を誘発せず、むしろNSCsの成長を促進する可能性がある」と判断した。
5mMとは、5ミリモル/Lという意味で、血中のスルフォラファンの濃度を表しています。5ミリモルとは、千分の5モルのことです。1モルとは、分子量に関係なく、溶液1リットル中に含まれる分子の数のことです。(蛇足:アヴォガドロ数量)
体重にもよりますが、血中濃度5mMを達成するためには、ブロッコリースプラウトの摂取はそれほど必要ないと考えています。(蛇足:分子式C6H11NOS2、分子量177.3、177.3×5=886.5mg/Lで5mM、つまり少々多めに食べても毒性は出そうにはありません)
神経幹細胞にスルフォラファンを作用させると、神経細胞に変化した
Green Med Infoの記事より:
・・・NSCsをスルフォラファンにさらすと、ニューロンに分化し、スルフォラファンが脳の修復を促進するという仮説に強力なサポートを与えることになった。
つまり、スルフォラファンは、神経幹細胞をニューロンにする一種の分子的「活性化剤」なのです。こうして、損傷した脳細胞は再生されるのです。
そして、脳細胞を成長させることはできないと思っている人のために、あなたはすでに一度、それをやってのけたのです。あなたの脳全体は、お母さんの子宮の中で、何もないところから育てられたのです。心臓、肺、骨、神経細胞なども同じように育てられた。人間の体はすべて、神経細胞の再生方法を知っているのです。そうでなければ、人間は存在しないのです。
スルフォラファンを小銭で栽培する方法
神と母なる自然は、私たちが必要とするすべての薬を与えてくれたのですから、ブロッコリーの新芽を使って、ほんの小銭でスルフォラファンを「製造」し、文字通り空気をスルフォラファンに変えてしまうことができるのです。
1. ブロッコリースプラウト、メイソンジャー、発芽用フタを購入する(下の画像参照)。
2. メイソンジャーにブロッコリースプラウトの種を大さじ1杯程度入れ、水で洗い、スプラウトの蓋を貼り、逆さにして水を切る。
3. 発芽用ジャーを逆さまにして保管する。1日1回、水ですすぎ、水気を切る。
4. 数日後には、スルフォラファンをたっぷり含んだブロッコリーの新芽ができあがる。
その後、スプラウトを食べる、サラダに使う、スムージーに混ぜる、スープに落とすなど、お好みでどうぞ。スルフォラファンは非常に頑丈な分子で、破壊するのはやや難しいので、デリケートで壊れやすい物質のように扱う必要はありません。スプラウトをブレンドしても、その分子が破壊されることはありません。それは、この分子がとてもとても小さいからです。
以下の私のポッドキャストでは、スルフォラファンの生成量を最大10倍にする方法として、スプラウトに安価な硫黄源を散布する方法を明かしています。ブロッコリースプラウトは、大気中の炭素、酸素、窒素を取り込んでスルフォラファンを生成しますが、根から吸収される硫黄が必要なのです。
自分で薬を作る方法については、GrowYourMedicine.comを参照してください。
スルフォラファンのその他の効果
スルフォラファンは、強力な抗がん作用も発揮します。GreenMedInfoは、発表された医学文献に反映されている、この分子の最高の特性をリストアップしています。それによると、スルフォラファンは、以下のことに役立つと文書化されています。
・・・その他多くの症状
スルフォラファンは私の自然界からのトップ5の分子の1つです。レスベラトロールもそうですし、ビタミンDもNo.1です。
覚えておいてください。誰もがほぼ無料で無制限にスルフォラファンを作ることができるのです。ブロッコリースプラウトを栽培して食べるのに、医者の許可を待つ必要はないのです。健康保険の適用も、(有毒な)薬局に行く必要もありません。
さらに良いことに、腐敗した、製薬に侵された世界中の政府が、専制政治を徹底して種子を禁止しない限り、ブロッコリーの新芽を取り上げることはできません。それでも、種は政府の凶悪犯から隠すのは簡単です。
今日のポッドキャストでは、ワクチンによる脳障害と神経障害を治す方法について、詳しく説明します:
Brighteon.com/dc200025-b77a-4d58-b12f-9762b3a33b83
Find my information-packaged podcasts each day, along with special reports and emergency updates, at:
https://www.brighteon.com/channels/hrreport
Also follow me on:
Brighteon.social: Brighteon.social/@HealthRanger
Telegram: t.me/RealHealthRanger
Gettr: GETTR.com/user/healthranger
Parler: Parler.com/user/HealthRanger
Rumble: Rumble.com/c/HealthRangerReport
BitChute: Bitchute.com/channel/9EB8glubb0Ns/
Clouthub: app.clouthub.com/#/users/u/naturalnews/posts
Join the free NaturalNews.com email newsletter to stay alerted about new, upcoming audiobooks that you can download for free.
Download my current audiobooks — including Ghost World, Survival Nutrition, The Global Reset Survival Guide and The Contagious Mind — at:
https://Audiobooks.NaturalNews.com/
Download the full, free “Ghost World” audiobook at GhostWorld.co
World Council for Health Reveals Spike Protein Detoxification
December 22, 2021 This article was posted by TLB Staff Analysis, COMMENTARY, HEALTH, Spotlight, WORLD 0
https://www.thelibertybeacon.com/world-council-for-health-reveals-spike-protein-detoxification/
ストーリー早わかり
以下の詳細は元ページでお願い致します
Dr. Martín Monteverde on the side effects of the COVID vaccine and how NAC and zinc help treat them September 08, 2021
https://www.orwell.city/2021/09/side-effects.html
アルゼンチンのマルティン・モンテヴェルデ[Martín Monteverde] 医師は、臨床的観点から見た患者の状況と、ホセ・ルイス・セヴィラーノ医師[Dr. José Luis Sevillano]が提案したN-アセチルシステイン[N-acetylcysteine;NAC]と亜鉛による治療で、患者の一人を回復させることができたことを語っています。
彼の報告によると、あらゆる種類の副作用が見られたそうです。残念ながら、この実験物質を接種された妊婦が流産したように、すべてが治療可能というわけではありません。
Orwell Cityは、モンテヴェルデ医師の言葉を英語にしました。
https://rumble.com/embed/vjhsjd/?pub=lveqv
Link: Rumble
マルティン・モンテヴェルデ医師:残念ながら、私たち医師が目にしているのは、ワクチンの影響です。
ここサンタフェでも。先日、私たちが広場で講演をしていると、顔の半分が麻痺した女性が近づいてきて、自分の証言をしてくれました。彼女はまた、彼女の症例をフォローするはずだった州の医師が、彼女をブロックしたことも話してくれました。
また、多くの患者さんが、ワクチン接種後に語ってくれたことは・・・親戚から聞いた話では、短期的な記憶喪失になっているそうです。まるで初期のアルツハイマー病のように。非常に親しい人の名前を忘れたり 場所も忘れてしまう。迷子のような状態です。これはワクチン接種後の数日間に起こり、数週間後に再び起こることもあります。(蛇足:海馬の神経細胞がやられている模様ですね)
私が家に見に行った女の子から電話がありました。実は義母からの電話で、土曜日の夜に電話があったのです。その女の子は土曜日の午後にワクチン接種を受けていました。その子は震えていて、痙攣していて、バスルームで気絶していたそうです。気絶していたんです。そう。私が彼女に会いに行ったとき、彼女は本当に具合が悪かったのですが、彼女の親戚はここサンタフェのヘルスセンターや病院に彼女を連れて行きたがりませんでした。彼女はアストラゼネカ社のワクチンを接種した20歳の女性でした。
私たちは、セヴィラーノ医師に勧められたN-アセチルシステインと亜鉛のサプリメントによる治療を開始しました。そして、神に感謝しつつ、この20歳の女の子は5日間で良くなりました。彼女はかなり改善しました。そしてまあ順調です。
ワクチンによる様々な影響が出ています。残念ながら、ワクチンを接種した妊婦が妊娠を失ったことは言うまでもなく、これは本当に悲劇です。
If you like my articles and the videos you find here and, if you can and feel like it, you can make a small donation. Your support is always more than appreciated.
関連
Covidワクチンは、マインドコントロールのためのナノ粒子を届けている "A Marcher" (from Spain)
ファイザー社の「ワクチン」にはmRNA(遺伝子治療)がない(こともあるらしい) Des Marxants (henrymakow.com)
血栓の問題は解消されない
循環器内科医から血栓の問題が続くだろうことを知ると、最初は高血圧が続き、3年後にはワクチンを接種した人は右心不全に陥るでしょう。 他の臓器や組織も同じ運命をたどるでしょう。 このようなRNA/DNAワクチンは、生物兵器としか呼べないのではないでしょうか?
下の写真は、スパイクタンパクに対抗するために作られた抗体が、健康な細胞に文字通り穴を開けている様子です。 この抗体の攻撃は、ブースターショットの後、より強固になります。 まだ受けていない人は、ブースターショットを受けない方がいいでしょう。
ワクチン接種者:さあどうする?
ワクチンを接種した大衆は、循環器系の問題が発生するのを待っていては、おそらく手遅れになるでしょう。 現代の医学でも、血栓を溶かすために即効性のあるヘパリンを安全に使うことはできません。それは、さらなる出血を誘発する可能性があるからです。 どうすればいいのか?
予防法:パイナップルの酵素
まず、ワクチンを接種したすべての人が予防措置をとる必要があります。 最も単純な方法は、酵素を使ってスパイクタンパクの細胞への結合を阻害し、スパイクタンパクを分解することです。 パイナップルの酵素であるブロメラインは、COVID-19の感染を抑制することに成功していますが、血栓を分解してスパイクタンパクをブロックするというダブルの作用を持っています。 ブロメラインと市販の抗酸化剤(NAC - Nアセチルシステイン)を組み合わせることで、スパイクタンパクを不活性化することができました。 酵素+酸化防止剤は相乗効果を発揮しますので、一緒にお使いください。 (最近、FDAがNACを禁止しようとしたのも不思議ではありません)どちらもヘルスショップで広く入手できます。
ナットウキナーゼは、より長時間作用する酵素で、こちらも広く普及しており(最大8〜12時間作用)、抗血液凝固剤よりも優れている点があります。
スパイク状タンパク質を撹乱するもう一つの物質は、赤ワインの分子であるレスベラトロールです。
レスベラトロールは、冠動脈での血栓型心臓発作を防ぐ血液サラサラ成分としてすでに広く知られており、COVID-19に対する主要な解毒剤と考えられています。 レスベラトロールは、同じ目的で使用される薬として広く知られているヒドロキシクロロキンを上回るスパイクタンパク質への強い結合性を発揮します。 また、イチゴに多く含まれる天然成分フィセチンは、スパイクタンパクとの結合力が最も強く、スパイクタンパクの細胞内への侵入を阻止することがわかりました。
レスベラトロールは、同種の分子であるプテロスチルベンよりもスパイクタンパクを阻害する能力が高いことがわかっています。
レスベラトロールがスパイクタンパク質と分子結合し、スパイクタンパク質の細胞内への侵入を阻害する様子を描いたグラフィック
Source: Journal Biomolecular Structure & Dynamics,
Volume 39, No. 9, page 3225, 2021.
新しい変異株が発生した時どうするか?
Current Opinion In Food Science(第32巻、149ページ、2020年)に掲載された科学報告によると、「ウイルスが変異して抗原性が変化すると、ワクチンなどの治療法が効率を失う可能性があります。 そのため、スパイクタンパクやウイルス自身が細胞に入るための入り口である宿主細胞のウイルス受容体(ACE2)を標的とした薬剤は、免疫反応を改善する可能性があり、強い可能性を秘めている」と述べています。"
レスベラトロールは、COVID-19感染の既知の経路をすべてブロックします。 注意点:魚油やニンニクは粘着性のある血小板を阻害することで血液凝固を抑制しますが、COVID-19患者に見られるフィブリン血栓には対応していません。 酵素療法やレスベラトロールはフィブリン血栓を分解するのに役立ちます。レスベラトロールは、動脈の内側を覆っている非常に脆弱な内皮細胞を保護することが実証されていますが、レスベラトロールの過剰摂取(500〜1000ミリグラム以上)は逆効果です。 実験室の皿上で、レスベラトロールは健康な細胞には害を与えませんでしたが、COVID-19感染細胞の成長を98%阻害しました。
Dダイマー検査
ワクチンを接種したアメリカ人が、自分が本当に血液凝固障害のリスクがあるかどうかを知りたい場合は、医師にDダイマー検査を依頼することができます。 COVID-19の生存者は、非生存者に比べてDダイマー値が10倍も低いのです。 健康な人のD-ダイマー値は、血液1mlあたり0.5マイクログラム以下です。
すべての人を騙すことができるのは、ある時だけ、
そして、一部の人はずっと騙すことができる、
しかし、すべての人をずっと騙すことはできない。
ワクチンを接種したアメリカ人は、ワクチンを接種していない友人や家族に圧力をかけるよう求められている
ワクチンを接種した人たちは、医師や政治家に促されて、ワクチンを接種していない人たちにスパイクタンパク・ワクチンの接種を促し、圧力をかけ、さらには強制的に接種させようとするキャンペーンを行っています。 ワクチンを接種した友人や恋人にこの報告書のコピーを手渡し、誤解させられていること、予想される問題を防ぐために行動を起こす必要があることを警告した方がいいかもしれません。
If Spike Protein Facilitates Entry Of A Gain-Of-Function Coronavirus Into Cells, Then Why Are We Coerced To Submit To Spike Protein-Generating Vaccines? By Bill Sardi July 31, 2021
露骨なことが、私たちの目の前を通り過ぎていくことがある
ジョン・F・ケネディ大統領の首と頭に複数の銃弾が正面から命中し、頭部の一部がリムジンのトランクに吹き飛ばされた映像は誰もが見たことがありますが、ストーリーは、大統領の移動中の車の後ろにいた狙撃手が、ガンサイトのない粗末なライフルを持って単独で暗殺したというものでした。
2001年9月11日、午前7時59分にハイジャックされた民間航空機がコースを外れて飛行し、約1時間後に世界貿易センタービルに「激突」しましたが、レーダーシステムはそれを検知せず、軍への警告もタイムリーに行われませんでした。 そして、そのためには事前に爆発物を設置しなければならなかった時、第7ビルは「引っ張られて」落下したのです。質問してはいけません。 これらの出来事に関する公式の解釈を受け入れてください。
現実
つまり、実験室で作られた変異したウイルスが肺の生きた細胞に侵入するのを容易にするのはスパイクタンパクであると、一般の人々は聞かされているのです。 ウイルスの細胞への侵入を促進するために?
では、COVID-19ワクチンを接種した人が何度も何度も感染し、それが突然変異したウイルスのせいだと言われていることを知って、一般の人が驚いているのはなぜでしょうか。 シンガポールで新たにCOVID-19に感染した人の75%は、すでにワクチンを接種しています。 しかし、スパイクたんぱく質は、ウイルス株の系統にかかわらず、すべてのウイルスの侵入を容易にするのです。
パニックはウイルスからワクチンにシフト
パンデミックは、ウイルスからワクチンへと移行しました。 今やスパイクタンパクそのものが病気になったのです。 血管を攻撃するということで、医学雑誌「サーキュレーション・リサーチ」に掲載された報告によると
「Fool me once, shame on you. Fool me twice, shame on me. (私を一度騙すのはあなたの恥である。私を二度騙せば、私の恥である。)」 ジョージ・W・ブッシュ大統領
40兆個のRNA粒子が腕の三角筋に注入されると、そのうちのいくつかは血液循環に入り、動脈の内膜の細胞を再プログラムしてスパイクタンパクを永続的に生産するようになります。 ワクチンを受けた人は、遺伝子的にプログラムされたRNA/DNAスパイクタンパク工場を小動脈内に持ち、スパイクタンパクを無限に生産し、微小な血栓を作りやすくなります。
反ワクチン派の指南
少数の勇敢な反抗者たちがワクチンを生物兵器と呼び、彼らは世論の法廷で、ワクチンのデマを広めたDirty Dozenの反ワクチン主義者として特定され、非難されています。 しかし、「Doctors 4 Covid Ethics」の信頼できる研究者たちは、COVID-19 RNA/DNAワクチンを「前例のない医療災害」と呼び、「毒ワクチン」の試験を「社会に対する犯罪」とみなして中止するよう要求しています。
現代医学は否定している
現代医学は、ウイルスによる血栓リスクは、ワクチンによって生じる血栓リスクよりも大きいので、リスクは正当化されると答えています。 しかし、健康な若者がワクチンを接種し、その愛する人が遺体安置所で遺体の確認に呼ばれる。 これは決してあってはならないことです。 ワクチンによる免疫よりも安全で効果的であることが証明されている自然免疫を公共政策とすべきなのかもしれません。 しかし、医師や政治家はワクチンに過剰に傾倒しています。 ワクチン接種を中止すれば、ウォール街は崩壊し、政治家は国民をコントロールできなくなる結果となるのです。 起こっていることは、大規模な医療ミスではなく、ますます犯罪のように見えてきます。
不安を煽るビジネス
ニュースメディアは、視聴率を上げるために意図的に国民にパニックを起こさせています。 米国疾病管理センターは、COVID-19による死亡の要因として、肥満に次いで不安が2番目に重要であることを明らかにしています。 不安なアメリカ人は、COVID-19で死亡する確率が28%も高いのです。
医師が言っているのは大規模な脳卒中や心筋梗塞のことであり、微小血栓症は稀です(100万回のワクチン接種で数例)。 しかし、ワクチンの安全性に対する疑念は、医学文献にも入り込んでいます。 ある医学雑誌には『ワクチン誘発性血栓性血小板減少症:サクセスストーリーの陰の部分』と題した報告が掲載されています。
ワクチン未接種者への社会的圧力の高まり
ワクチンを接種した8千万人の愚かなアメリカ人は、残りのワクチン未接種者を非難しています。この魔女狩りは数ヶ月前に筆者が予測したものです。 しかし今、何百万人ものアメリカ人に、彼らが騙されていることをどうやって伝えるか? 彼らの命は危険にさらされているのです。 このような情報を提供すると、筆者のところには「あなたのメールリストから削除してください」というメッセージが送られてくるので、とても心配です。 それは、あまりにも面倒なことかもしれません。 特に、自国の政府よりも作為的なウイルス詐欺を恐れた無防備なアメリカ人にとっては。 ワクチンを打ったアメリカ人には、眠れない夜がたくさんやってきます。 しかし、脱出する方法はあります。 続きを読んでください。
Breakthrough: This fermented Japanese superfood can inhibit SARS-CoV-2 infections, researchers find Tuesday, July 27, 2021 by: Divina Ramirez
https://www.naturalnews.com/2021-07-27-fermented-japanese-dish-inhibits-covid-infection.html#
(ナチュラルニュース) 日本の研究者の研究によると、納豆は、SARS-CoV-2(COVID-19の原因となるウイルス)が健康な細胞に感染する能力を阻害することができます。
7月13日(火)発行のBiochemical and Biophysical Research Communications誌に掲載された本研究では、非加熱の納豆エキスが、SARS-CoV-2の外表面にあるスパイクタンパク質の重要な領域であるRBD(Receptor-Binding Domain)を分解することが示されました。
特にRBDは、ウイルスが特定の細胞に感染する前に、その細胞の表面にある受容体に固定するために使用するので重要です。
さらに、非加熱の納豆エキスが、SARS-CoV-2の一部の変異株、特にα変異体のRBDに対しても同様の効果を持つことが確認されました。この変種は、2020年9月に英国で初めて検出されました。その後、3カ月後に米国でも検出されました。
納豆エキスがSARS-CoV-2のスパイクタンパク質の重要な領域を分解することを発見
納豆は、大豆を土壌や植物に存在する枯草菌で発酵させて作る日本の伝統的な料理です。納豆は、脳卒中や心血管疾患で死亡する可能性が低い人々の食生活に欠かせないものであり、日本全体の健康寿命の延長に貢献していると考えられています。
今回の研究では、納豆がSARS-CoV-2と、重篤な呼吸器感染症を引き起こす牛の主要な病原体である牛ヘルペスウイルス1(BHV-1)の感染を阻害するかどうかを調べました。
研究者たちは、2種類の納豆の抽出液を用意しました。そのうちの1つを100℃で10分間加熱しました。その抽出液を牛と人間の培養細胞に塗布しました。ヒトの細胞セットにはSARS-CoV-2を、ウシの細胞セットにはBHV-1を感染させました。
その結果、SARS-CoV-2とBHV-1は、非加熱の納豆エキスで処理すると、細胞に感染する能力が失われました。しかし、加熱した納豆エキスでウイルスを処理しても効果はありませんでした。
研究者らは、非加熱の納豆エキスがウイルスに影響を与えたのは、納豆エキスに含まれるプロテアーゼ(他のタンパク質を分解代謝するタンパク質)によるものだと考えていますが、これを確認するにはさらなる研究が必要です。
共著者である東京農工大学感染症疫学・予防研究センター長の水谷哲也によると、納豆エキスに含まれるプロテアーゼは、SARS-CoV-2のスパイクタンパク質上のRBDを「消化」しているように見えたといいます。
抽出液を加熱すると、プロテアーゼが分解してRBDを消化できなくなり、ウイルスの感染力が維持されるようになるようだ」と水谷は付け加えました。
SARS-CoV-2がヒトの細胞に感染するためには、スパイクタンパク質上のRBDが、アンジオテンシン変換酵素2(ACE2)という宿主の受容体タンパク質に結合する必要があります。ACE2は、腸、腎臓、胆嚢、心臓などの細胞の膜に付着している酵素で、肺の小さな気嚢(肺胞)に並ぶ細胞である肺胞細胞の表面にも存在しています。
さらに、ACE2は、動脈、毛細血管、静脈に存在する内皮細胞の表面にも存在しています。(関連:きゅうりは血管内皮細胞の炎症を抑える)
納豆エキスは、スパイクタンパク質のRBDを分解することで、ウイルスが細胞に感染する能力を低下させます。
このような有望な結果が得られたにもかかわらず、水谷は、非加熱の納豆エキスがSARS-CoV-2に及ぼす影響の正確な分子メカニズムを明らかにするには、さらなる研究が必要だと警告しています。また、今回の研究は、納豆を食べるだけでCOVID-19の感染を防げるという証拠にはならないと強調しました。(蛇足:昔から納豆は感染症の予防・治療に使われてきました。血栓を溶かす作用も有名ですね)
COVID-19に対するワクチンはある(蛇足:「ワクチン」の否定はタブーらしい)が、それがSARS-CoV-2のすべての変異型に有効かどうかは不明だと水谷は言います。また、ワクチンを十分に接種したにもかかわらず、感染してしまったという報告もあります。「COVID-19を発症した人の治療法を作る必要がある」と付け加えました。
ウイルス感染症に効果のある食品については、FoodScience.newsをご覧ください。
Sources include:
西洋文明はいかにして化学物質による死のカルトになったか
私が驚くのは、西洋文明が「薬は薬局や錠剤からしか手に入らない」と洗脳されてしまったために、人々が自分の家の裏庭に生えている本物の薬を文字通り毒殺していることです。しかも、がんの原因となる化学物質(除草剤など)を使って、自分自身や土壌微生物、環境にまで害を及ぼすのです。まるで、典型的なアメリカ人が、母なる自然が無料で提供してくれる健康的で無限の世界を楽しむのではなく、苦しみと崩壊に終わる化学物質死のカルトに参加しているかのようです。
ほとんどの人は、医薬品、化学療法、ワクチンに対して、ひねくれた非合理的な信念を持っており、シンプルで低コスト、すぐに利用できる解決策を提供してくれるかもしれない「汚れたタンポポ」に触れるくらいなら、西洋医学で文字通り自殺してしまうのです。
大手製薬会社と犯罪的なワクチン産業の破壊的な影響下で、社会がいかに自殺的で不合理なものになっているかを示しています。治療法は禁止され、非合法化されているのに、致命的なスパイクタンパク生物兵器の注射は義務づけられている。おそらく10万人のアメリカ人がすでにcovidワクチンで殺されているというのに。
言うまでもなく、この社会は、現実を見失い、死を崇拝するようになったため、自滅していくだろうと思います。ニューイングランド・ジャーナル・オブ・メディシンに掲載された新しい研究によると、コビドワクチンを妊娠中の母親に注射した後、妊娠初期の82%が自然流産となっていることが明らかになりました。
これらの驚くべき詳細については、状況更新のポッドキャストをお聞きください。
Brighteon.com/d01f78fb-584a-4edd-b1cc-57bdc90bedaf
Hear a new podcast each day at:
https://www.brighteon.com/channels/hrreportCovid cures literally grow like weeds, yet most people buy lawn poison to kill them off, thereby killing themselves
Covid治療薬は文字通り雑草のように成長するが、ほとんどの人はそれを殺すために芝生用の毒を買い、自分自身を殺してしまう Friday, July 02, 2021 by: Mike Adams
https://www.naturalnews.com/2021-07-02-covid-cures-literally-grow-like-weeds.html#
(ナチュラルニュース)今日の状況更新では、covidキュアが文字通り雑草(タンポポの雑草など)のように成長するという驚くべき事実について説明します。しかし、ほとんどの人はホームセンターに駆け込み、有毒で癌の原因となる除草剤を購入し、自分の芝生に毒を塗ってタンポポを殺し、長い目で見れば自分自身を殺すことになるのです。
タンポポの葉は、超音波洗浄機を使うだけで、簡単かつ迅速に自然薬に生まれ変わります。次のPrepWithMike.comシリーズのビデオでは、超音波洗浄機を使ってローズマリーのハーブから薬効成分を抽出する方法を紹介しています。タンポポの葉を使っても、まったく同じ方法で、抗スパイクタンパクのハーブエキス薬を作ることができます。
Brighteon.com/c61b0f84-3f4d-4a76-b2a9-2a3b7a72cf1c
超音波洗浄機がなくても、メイソンジャーと水とウォッカがあれば、タンポポの葉エキスのチンキを作ることができます。時間はかかりますが(数日から数週間)、超ローテクで、グリッドダウン(停電・断水)のシナリオでも実現できます。
重要なのは、ハーブから自然薬を作る場合、薬局への支払いは一切なく、保険会社の許可も必要なく、医師の承認も必要なく、FDAさえも必要ないということです。神から大自然へ、そしてあなたへと届くのです。